2025-11-28 18:13 来源:昭通新闻网


经大关县机关事务服务中心批准,大关县住房和城乡建设局委托云南冠鸿拍卖有限公司负责大关县城地灾避险搬迁安置区第三批51个国有商铺公开拍卖事宜。相关事项公告如下:
一、拍卖标的基本情况
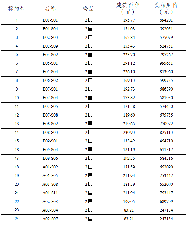
(一)拍卖标的位于大关县城地灾避险搬迁安置区,有51个国有商铺,结构为框架结构,拍卖标的简介:


(二)拍卖方式为单个标的拍卖,预交竞买保证金人民币13万元。
二、报名须知
(一)报名方法
具有独立民事行为能力的自然人、法人及其他组织均可申请参加。申请人应满足的条件:
1. 法人及其他组织持有效营业执照副本、开户许可证(复印件加盖公章)、法人身份证明书及身份证复印件正反面。(如委托他人办理须提交:法人授权委托书、代理人身份证及复印件正反面),按规定缴纳竞买保证金后办理竞买登记手续。
2. 自然人持本人有效身份证复印件正反面、银行卡复印件正反面,按规定缴纳竞买保证金后办理竞买登记手续。
(二)保证金缴纳及退还方式
1. 缴纳一份保证金只能成交一个标的,欲竞买多个标的的,保证金以此类推。
2. 竞买人缴纳保证金应在缴纳截止时间2025年12月19日16:30前到账为准,竞买保证金必须以转账、网银、电汇的方式转入保证金账户,逾期到账或者以现金缴存方式的视为无效(缴款人与竞买报名人必须是同一名称)。
3. 拍卖结束后,买受人缴纳的竞买保证金转为成交价款,其他无违约情况的竞买人缴纳的保证金在活动结束后5个工作日内不计利息原账户退还。
保证金账户:
户名:大关县住房和城乡建设局项目资金专户
开户行:中国建设银行股份有限公司大关支行
账号:53001637436050198785
(三)特别说明
1. 委托人以标的现状委托拍卖,建筑面积仅供参考,无论实际面积增加或减少,成交价款不变,竞买人应实地查勘并充分了解标的物现状,一经竞得后不得再以任何标的现状为由拒付竞买成交款项。
2. 竞买人务必认真勘查标的,精心测算效益,慎重评估风险,委托人、拍卖人不承担隐蔽瑕疵担保,报名即视为完全了解并认可标的物的一切现状,对标的物产生的客观损耗无异议,并承担其相应风险,一经竞得后不得以任何理由拒付成交款项。
三、报名时间
2025年12月17日至12月19日上午9:00—11:30,下午14:30—17:00。
四、报名地点
大关县靖安安置区B区B03-S04号商铺。
五、标的展示
自公告之日起至2025年12月19日实地展示。
六、拍卖时间
2025年12月22日9:30。
七、拍卖地点
大关县靖安安置区B区B03-S02号商铺二楼会议室。
八、联系人及电话
孔德娟,13669711491。
本公告在昭通新闻网、微大关、云南省拍卖行业协会、云南冠鸿拍卖有限公司网站上发布。
大关县住房和城乡建设局 云南冠鸿拍卖有限公司
2025年11月28日

