2018-07-20 11:43 来源:昭通新闻网
中共昭通市委组织部 昭通市人力资源和社会保障局关于昭通市2018年事业单位公开招聘工作人员资格复审等事宜的通告(第三号)
昭通市2018年事业单位公开招聘工作人员笔试成绩公布后,在规定的时限内,没有收到符合条件的查分申请。根据《昭通市2018年事业单位公开招聘工作人员的通告(第一号)》的有关规定,现将昭通市2018年事业单位公开招聘工作人员笔试最低控制分数线的确定、资格复审、体检等有关事宜通告如下:
一、笔试最低控制分数线确定
根据昭通市2018年事业单位公开招聘工作人员各笔试专业类别参加考试人员笔试成绩情况,按照各笔试专业类别参加考试人员有效笔试成绩平均分的70%计算,昭通市2018年事业单位公开招聘工作人员笔试最低控制分数线为:综合管理类98.20分、社会科学专技类101.71分、自然科学专技类105.30分、中小学教师类107.60分、中医临床岗位95.33分、西医临床岗位97.00分、药剂岗位95.11分、护理岗位91.77分、医学技术岗位91.60分、公共卫生管理岗位109.69分。笔试总成绩达不到最低控制分数线的考生,将不能进入资格复审、体检、考核等环节。《昭通市2018年事业单位公开招聘工作人员笔试最低控制分数线以上人员名单》(见附件1)。
二、 进入资格复审人员的确定
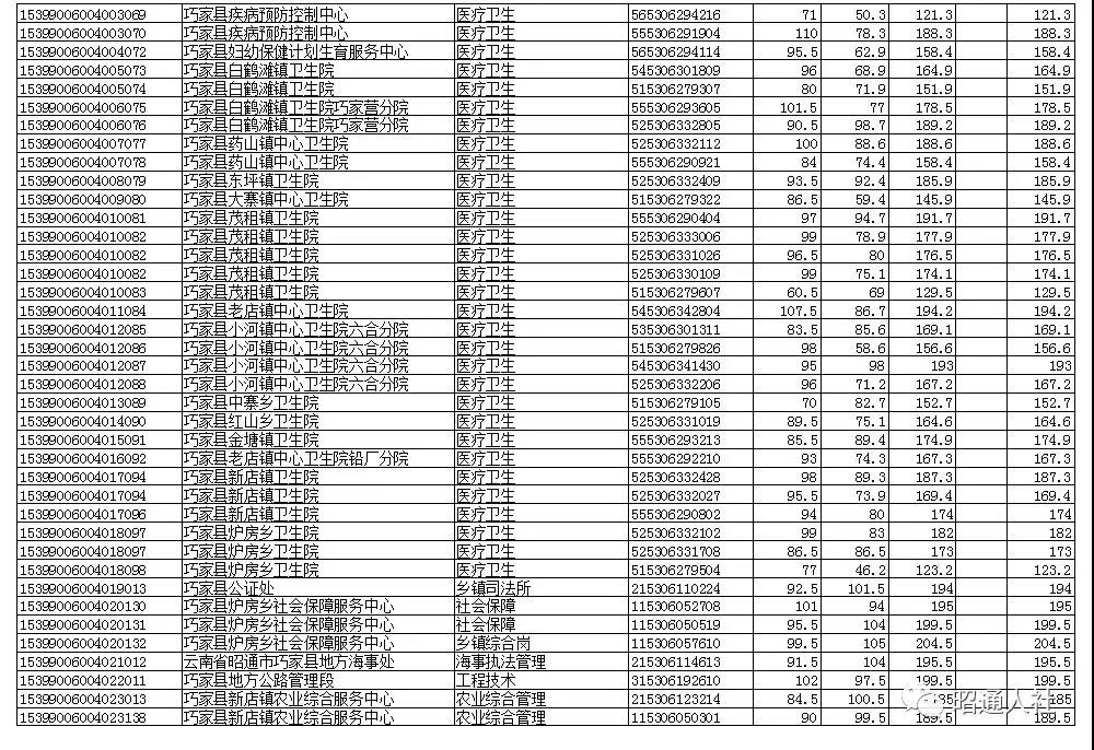
按照《昭通市2018年事业单位公开招聘工作人员的通告(第一号)》的规定确认进入资格复审人员名单,具体名单见《昭通市2018年事业单位公开招聘工作人员拟进入资格复审人员名单》(见附件2)。
三、资格复审
拟进入资格复审人员名单的考生,必须于2018年8月14日至8月15日的正常上班时间,携带相关资料到报考岗位所属县区进行资格复审,逾期不到者,视为自动放弃资格复审。具体审核地址为:

资格复审时考生须提供本人身份证、户口簿、毕业证、学位证,准考证以及其他与岗位要求相关的证件或其他证明材料(以上所有证件审核原件后收取1份复印件)。
报考定向招聘村干部岗位进入资格复审的考生,资格复审时还须提供《昭通市村干部参加事业单位工作人员招聘考试资格审查表》(见附件3)。
报考岗位要求历年考核均合格的服务基层“三个项目”人员(特岗、三支一扶、西部志愿者)岗位的考生,在资格复审时还须提供《定向招聘应聘人员情况审核表》(见附件4)。
报考岗位要求为“连续3年考核优秀的村计生宣传员”岗位的人员,在资格复审时还须提供《昭通市优秀计生宣传员参加事业单位工作人员招聘考试资格审查表》(见附件5)和连续3年考核优秀的考核登记表。
报考岗位要求为“残疾人”岗位的人员,在资格复审时还须出具由残疾人联合会颁发的《中华人民共和国残疾人证》,残疾证需经昭通市残疾人联合会认定。
报考岗位要求为退役士官士兵岗位的人员,在资格复审时需提供部队颁发的退伍证。
考生提供的所有材料必须真实有效,对提供虚假材料的考生,取消其聘用资格,并按照有关规定严肃查处。按照《昭通市2018年事业单位公开招聘工作人员的通告(第一号)》的规定,资格审查将贯穿整个招聘过程,对在任何一个环节查出不符合通告要求的考生,一律取消聘用资格。资格复审中若出现不合格者,按总成绩高低顺序进行递补,但递补只进行一次。资格复审结束后,在体检、考核等环节若出现不合格者,将不再进行递补。
四、体检
资格复审合格的考生进入体检,标准参照《公务员录用体检通用标准(试行)》及《公务员录用体检操作手册(试行)》进行。体检时间:2018年8月17日至8月20日,具体时间和体检医院以资格复审时的通知为准。
五、考核
体检合格的考生进入考核程序。考核由用人单位行政主管部门会同用人单位组织实施。考核内容是对考生的思想政治表现、道德品质、业务能力、工作实绩等情况进行考核,并对应聘人员资格条件进行复查。考生必须于2018年8月30日前提供个人档案到考核单位进行考核,到时不能提供个人档案的,一律不予考核。
附件:1.昭通市2018年事业单位公开招聘工作人员笔试最低控制分数线以上人员名单
2.昭通市2018年事业单位公开招聘工作人员拟进入资格复审人员名单
3.昭通市村干部参加事业单位工作人员招聘考试资格审查表
4.定向招聘应聘人员情况审核表
5.昭通市优秀计生宣传员参加事业单位工作人员招聘考试资格审查表
2018年7月20日
附件1.请进入昭通市人力资源和社会保障局网站-事业单位招聘栏查看和下载
附件2.拟进入资格复审人员名单



























附件3.昭通市村干部参加事业单位工作人员招聘考试资格审查表


附件4.定向招聘应聘人员情况审核表

附件5.昭通市优秀计生宣传员参加事业单位工作人员招聘考试资格审查表


(请进入昭通市人力资源和社会保障局网站-事业单位招聘栏下载所有附件)
来源:昭通市人社局